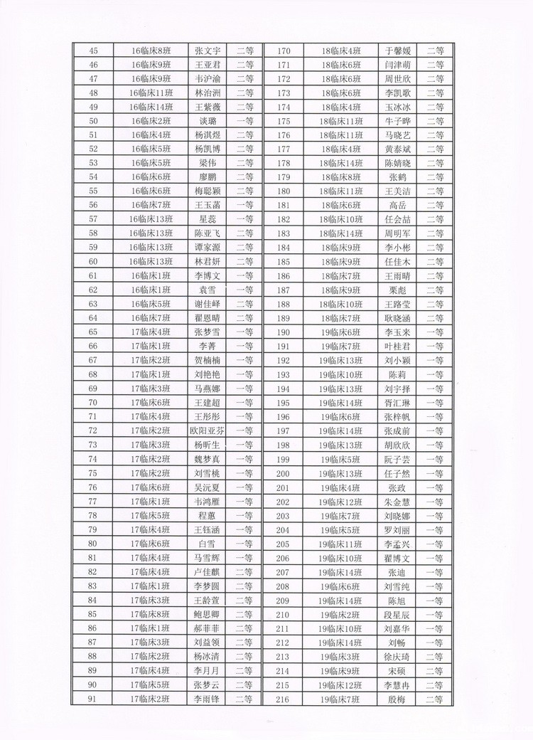
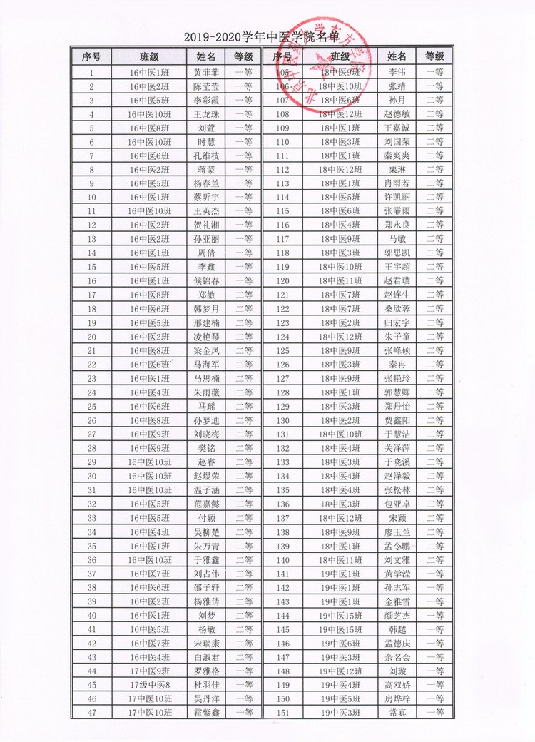
按照我院《本科学生奖学金申报评比制度》规定,各二级学院在九月份组织开展了综合量化考核,根据考核结果进行伟德app下载安卓版奖学金评选,评选结果分别在班级、院系进行公示,无异议后上报学生处,现将全院获得奖学金学生名单公示如下:(名单后附)
公示期限为:自2020年12月11日起至2020年12月17日止。如有异议,请于2020年12月17日17:00以前通过以下联系方式反映:电话:0316-6058600。
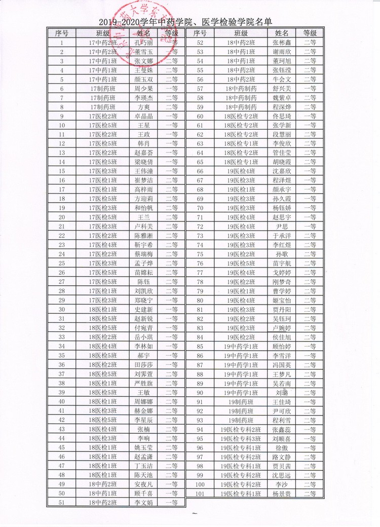
附:2019-2020学年中药学院、医学检验学院名单
2019-2020学年管理学院名单
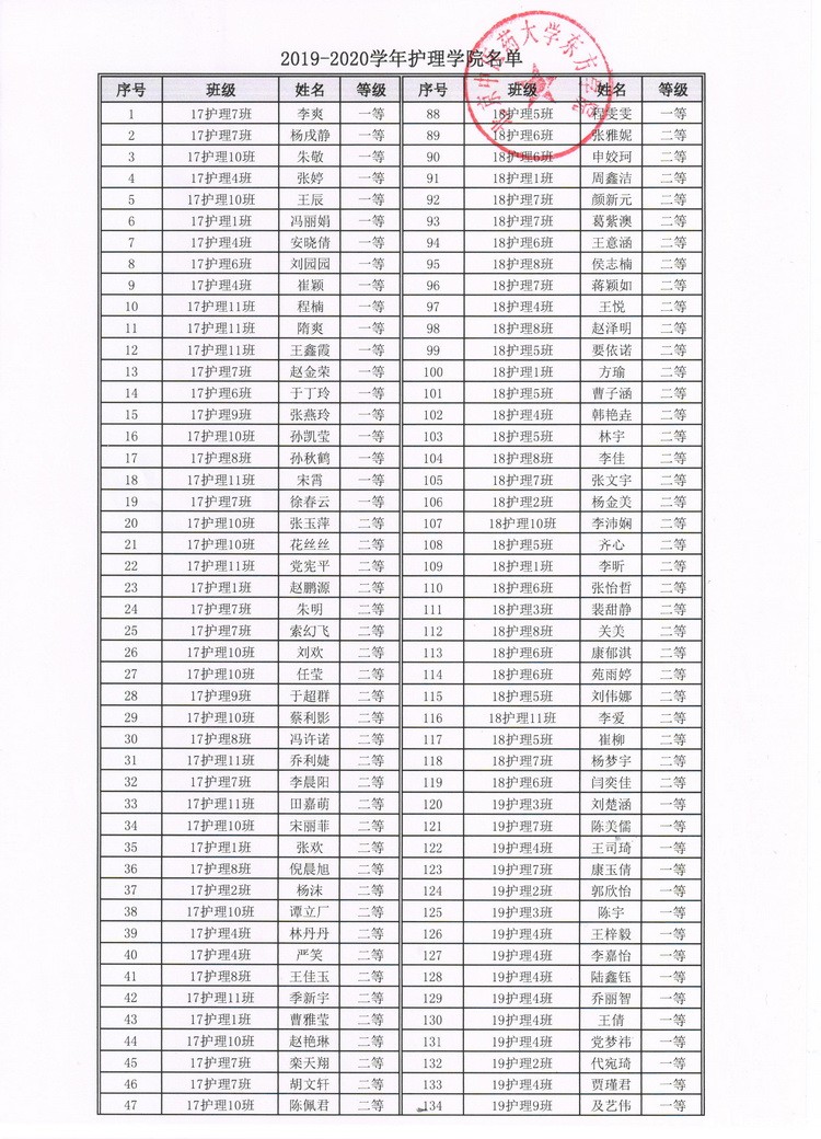
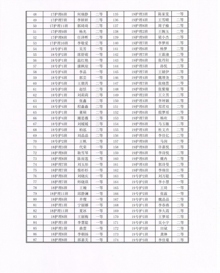
2019-2020学年护理学院名单
2019-2020学年针灸推拿学院、中医养生康复学院名单
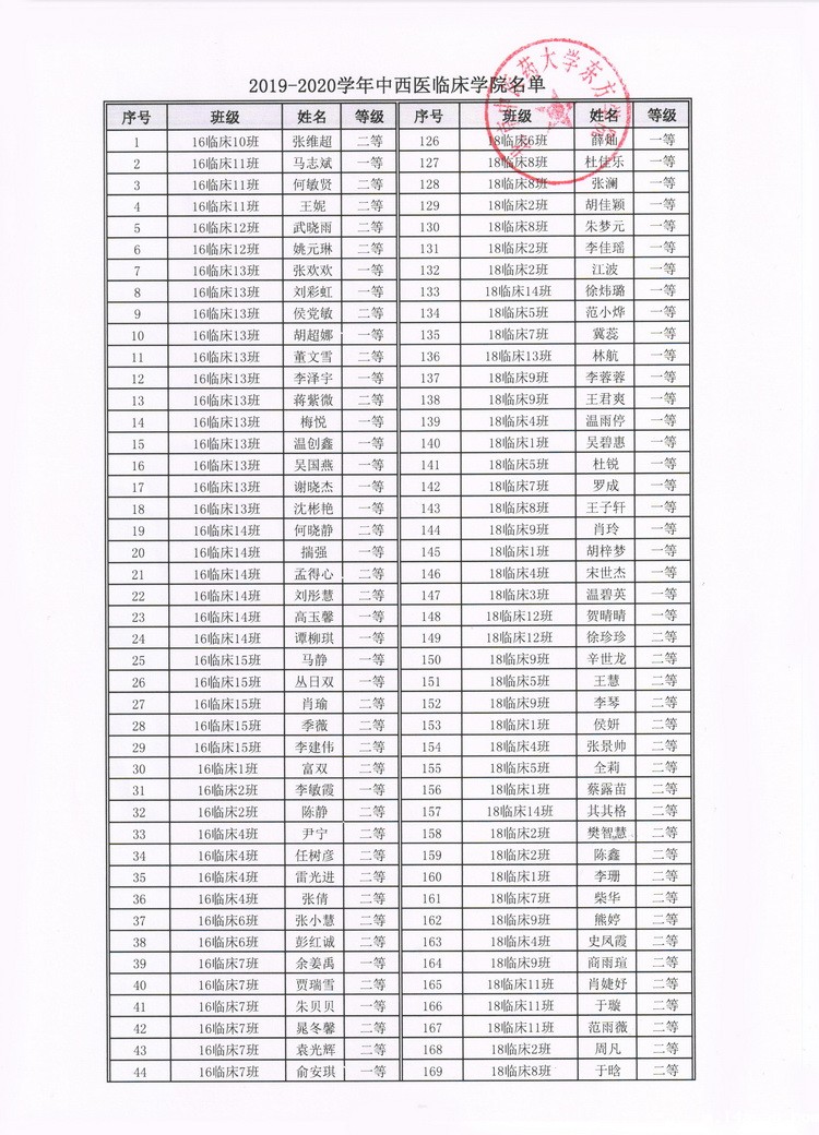
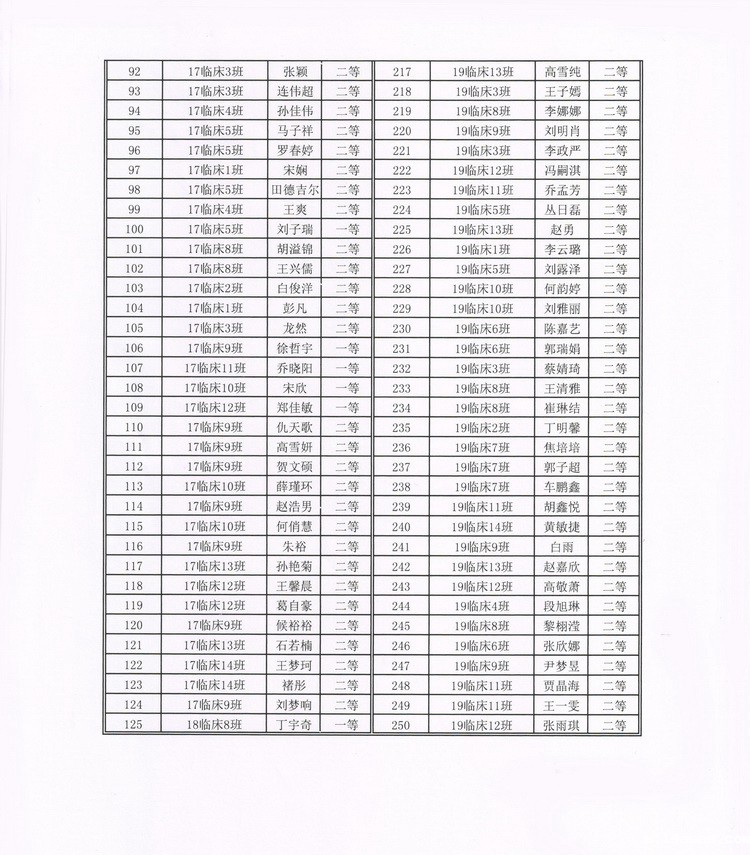
2019-2020学年中西医临床学院名单
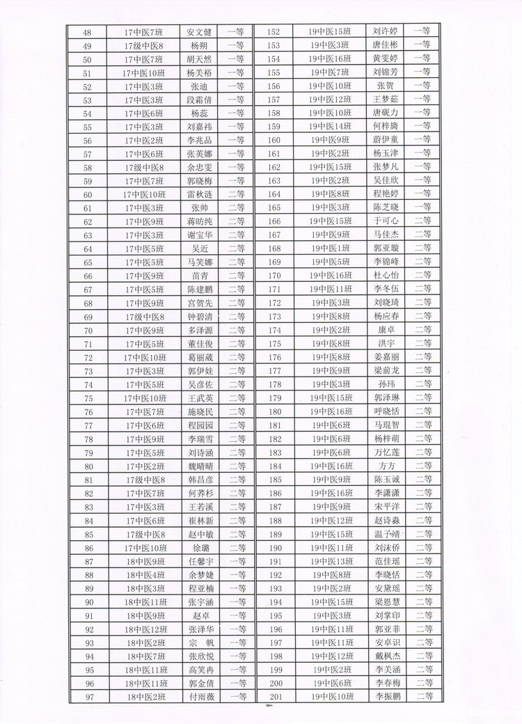
2019-2020学年中医学院名单
伟德app下载安卓版
2020年12月11日












